Description of the program: corr


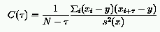
This program computes the autocorrelation of a scalar data set. Depending on whether the -n flag is set or not, different normalizations are applied. With -n not set the definition is:
where s is the standard deviation of the data and y its average. Else it is

Usage:

corr [Options]

Everything not being a valid option will be interpreted as a potential datafile name. Given no datafile at all, means read stdin. Also - means stdin

Possible options are:

Option Description Default
-l# number of data to use whole file
-x# number of lines to be ignored 0
-c# column to be read 1
-D# number of correlations 100
-n don't use normalization to standard deviation not set
-o# output file name
without file name: 'datafile'.cor
(or stdin.cor if stdin was read)
If no -o option is given stdout is used
-V# verbosity level
  0: only panic messages
  1: add input/output messages
1
-h show these options none


Description of the Output:

The first two lines contain: 1. the average and 2. the standard deviation of the data. The following lines are the autocorrelations (first column: delay, second column: autocorrelation).
View the C-sources.
See also autocor
Table of Contents * TISEAN home